Ursprung und Entwicklung der Hethitischen Kultur im mittleren Schwarzmeergebiet
in der Region Oymaağaç - Vezirköprü, Nordtürkei
Das Projekt
I
Survey
I
Ausgrabung
I
Artikel & Publikationen
I
Unterstützen
I
Özet (Türkce)
Loci
Funde
Artikel
Videoarchiv 2007 / 2008
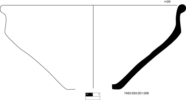
Knickwandschale (7483:054:001:006)
4462 von 24001
Fundort
Oymaagac (OymS 01)
Funddatum
30.07.2010
Anlage
30.07.2010 13:47
Änderung
28.04.2015 10:49
Kontext
7483:054 (Grube)
Ost
Nord
Höhe
0.92 bis 1.60
0.88 bis 1.44
281.61 bis 281.21
Fundart
ausgesondert aus
7483:054:001
Material
Keramik
Fundkategorie
Gefäße
Datierung
Frühe Eisenzeit
© Oymaagac-Nerik-Forschungsprojekt 2005 - 2008 |
erstellt von
datalino
2008
|
Kontakt
|
Impressum